本文通过5则实例介绍了用WPS2000 编辑数学公式的具体操作方法。相信读者看完本文并按所介绍的方法上机操作后, 就一定能熟练地用WPS2000来编辑常用的各种数学公式。
例1. 编辑输入公式(如

):
操作步骤如下:
(1) 将插入点(光标)移到要插入该公式的位置;
(2) 在“插入”菜单选择“数学公式”中的“一组数学公式”命令;
(3) 键入左小括号“(”;
(4) 在“插入”菜单选择“数学公式”中的“根式”命令;“
(5) 键入“X”;
(6) 按两下光标右移键“→”;
(7) 键入“+1)(”;
(8) 在“插入”菜单选择“数学公式”中的“分式”中的“一般分式”命令;
(9) 在方框中键入“1”;
(10) 将光标移到分式的分母处;
(11) 在“插入”菜单选择“数学公式”中的“根式”命令;
(12) 键入“X”;
(13) 按三下光标右移键“→”;
(14) 键入“-1)”;
(15) 在公式编辑框外面单击鼠标。
例2. 编辑输入公式(如

):
操作步骤如下:
(1) 将插入点(光标)移到要插入该公式的位置;
(2) 在“插入”菜单选择“数学公式”中的“一组数学公式”命令;
(3) 在“插入”菜单选择“数学公式”的“积分式”中的“右上角式”命令;
(4) 在光标处键入积分上限“b”;
(5) 按一下“↓”键;
(6) 在光标处键入积分下限“a”;
(7) 按两下光标右移键“→”;
(8) 选择“分式、除式”中的“一般分式”命令;
(9) 键入“x”;
(10) 选择“数学公式”中的“上下标式”命令;
(11) 在光标处键入“4”;
(12) 按“↓”键将光标移到分式的分母处;
(13) 输入“x(2)+1”;
(14) 按两下“→”键;
(15) 键入“dx”;
(16) 在公式编辑框外面单击鼠标。
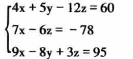
例3. 编辑输入方程组(如

):
操作步骤如下:
(1) 将插入点(光标)移到要插入该方程组的位置;
(2) 在“插入”菜单选择“数学公式”的“方程式”中的“三元式”命令;
(3) 键入“4x+5y-12z=60”;
(4) 按“↓”键;
(5) 键入“7x-6z=-78”;
(6) 按“↓”键;
(7) 键入“9x-8y+3z=95”;
(8) 在公式编辑框外面单击鼠标。
例4. 编辑输入方程式(如

):
操作步骤如下:
(1) 将插入点(光标)移到要插入公式的位置;
(2) 在“插入”菜单选择“数学公式”中的“一组数学公式”命令;
(3) 在出现的方框中键入“Sx=”;
(4) 在“插入”菜单选择“数学公式”的“根式”命令;
(5) 在“插入”菜单选择“数学公式”的“分式、除式”中的“一般分式”命令,然后键入分子“1”,分母“n-1”;
(6) 按两下“→”键;
(7) 在“插入”菜单选择“数学公式”的“大括弧式”中的“花括弧形”命令;
(8) 在“插入”菜单选择“数学公式”的“求和式”命令;
(9) 在上下两个方框中分别键入“n”和 “i=1”;
(10) 将光标指针移到中间的方框中;
(11) 键入“X”;
(12) 选择“数学公式”的“上下标式”命令;
(13) 在方框中键入“2”和“i”;
(14) 按两下“→”键;
(15) 键入“|-n”;
(16) 选择“数学公式”的“顶标记式”中的“单线”命令;
(17) 在方框中键入“X”;
(18) 按两下“→”键;
(19) 选择“数学公式”中的“上下标式”命令;
(20) 在方框中键入“2”;
(21) 在公式编辑框外面单击鼠标。
例5. 编辑输入矩阵(如

):
操作步骤如下:
(1) 在“插入”菜单选择“数学公式”的“矩阵式”中的“定制矩阵…”命令,则出现“矩阵设置”对话框;
(2) 在“行数”框中选择或键入3,在“列数”框中选择或键入4;
(3) 在“边框线形”框中选择所需要的边框线形;
(4) 单击“确定”按钮;
(5) 在方框中键入矩阵的各项数值;
(6) 在公式编辑框外面单击鼠标。