微信公众号
图码生活
每天发布有五花八门的文章,各种有趣的知识等,期待您的订阅与参与
搜索结果最多仅显示 10 条随机数据
结果缓存两分钟
如需更多更快搜索结果请访问小程序
中国台北故宫博物院展品查阅
中国台北故宫博物院展品中的10万余件展品,带图片和中文详细介绍
查
随便看看
关于
微信小程序
小贝快充
200 元话费只需 192 元,会员充值、话费充值/优惠/快速/安全/可靠 (视频/音乐/网盘各类会员)
品名
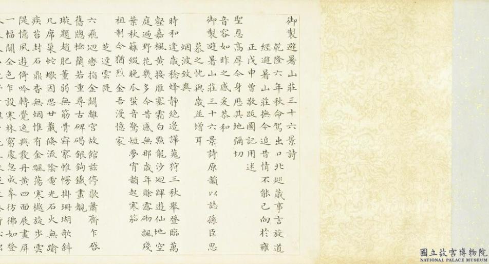
清励宗万乾隆题避暑山庄三十六景诗 卷
分类
法书
作者
年代
尺寸
说明
字体
行书
语言
汉文
释文
御制避暑山庄三十六景诗。乾隆六年秋。命驾出口北巡。藏事言旋道经避暑山庄。抚今追昔。情不能已。向于雍正戊申曾敬跋图记。用述圣恩高厚。今身历其地。弥切音容。如昨之感。爰恭和御制避暑山庄三十六景诗。原韵以志孙臣思慕之忱与岁并增耳。烟波致爽。时和逢岁稔。烽静绝边哗。搜狩三秋举。登临万壑嘉。枫黄接雁塞。霜白点龙沙。回跸游仙地。空庭遍野花。几多今昔感。无那岁年賖。
露砌飘残叶。秋篱缀晚瓜。蛩音惊短梦。宵韵起寒笳。祖制今犹烈。金吾漫忆家。芝径云堤。六飞回辔指金阙。离宫故馆兹停歇。萧斋乍启旧牕棂。兰若重寻古碑碣。银钩铁画覩璇题。赵肥董弱无筋骨。寂寥帷幔挂珊瑚。欹斜几席巢蛇蝎。因思廿载倐流阴。电光石火无踰疾。苔封石鼎杳无烟。惟有金飔荡寒樾。旋步云堤忆夙游。倚吟转觉逸兴发。丹黄四面展画屛。一幅关仝色乍设。寒林穷处忽成峰。彷佛如登泰麓东。山葩野卉难争艳。五株疑是秦时松。郊原秋景尤堪望。比栉崇墉万户同。祈年讵异当年志。长愿田畴歌屡丰。大德曰。生恩惠洽。道之犹足泫。羣工金汤。礼义足防堤。悬橦度索声教齐。利我后人犹赖泽。敷天雨露苏黔黎。久安蒙业讵宜恃。千秋金鉴垂图史。绍武常怀干愓衷。敢云王化宁遐迩。日暮归来独倚楼。抚今追昔增凄愁。欢娱但觉春风暖。宵旰谁知午夜忧。裁诗聊当铭座右。愿言治理虚心求。继绳祖武惧不逮。惟应此志万千秋。无暑清凉。一缕遥循堤径长。松轩月榭暂徊徨。苔纹千点万点绿。菊蕊三枝五枝芳。自是洞天无处觅。祗余元圃可相方。根尘久悟风旛时。题句还如蝶梦庄。延熏山馆。偶抚虞琴山馆静。祝融未觉署头衔。万方乐利心胸内。解愠何须更脱衫。水芳岩秀。岩秀据艮灵。水芳擅坤厚。即此溪壑佳。何必称牛首。缅怀智者乐。愿效仁者寿。兹地可会心。亭轩建已久。澄流遶其前。疏峰罗厥后。仙壶常奥秘。无乃神人剖。璇题犹在檐。奎文丽星斗。颜柳步后尘。张王谢敏手。明训垂日月。所恶在旨酒。绍庭志虽殷。继武吾何有。万壑松风。犹是当时傲雪青。重开轩阁俯溪汀。廿年未识门?奥。长忆文筵独授经。(小字注。万壑松风跸之。予当年户嗣居云。)松鹤清越。白鹤志犹洁。苍松独后凋。景仰终身慕。讵止温清调。(小字注。松鹤清越当时奉太皇太后居于此。)云山胜地。黄云近垄复遐阡。想象丰年入颂笺。二十年来衣食足。黔黎犹戴圣恩宣。四面云山。攀跻步崇岭。摩诘画中诗。岑壑依然在。川原望里奇。重来犹切切。欲去更迟迟。孤鹤唳层巘。孙梧擢老枝。苔纹迷近砌。鹿迹印斜岐。座静来青黛。窗虚浸曲池。怀恩常抚迹。忆昔更含悲。当日干干意。身肩始得知。北枕双峰。欲排云雾叩仙关。咫尺罗天即此山。却喜晴明聊纵目。滦河如带一湾湾。西岭晨霞。翔阳腾晓海门东。似飐红旗锦扬风。何必暮山夸返照。试看西岭画屛中。锤峰落照。猎罢途经羽盖留。锤峰落日正深秋。白云红树参差处。疑有寒山结宇幽。南山积雪。芙蓉十二列峰容。最喜寒英缀古松。此景祗宜诗想象。留观直待到深冬。梨花伴月。谁道边关外。春时亦有花。寒香雪添艳。澹影月增嘉。雅称峰头雨。何须谷口霞。涂山千万树。踪迹漫相夸。曲水荷香。当年睿志尚高清。非慕濂溪癖爱名。重忆琼筵陪色笑。金匙常饱手调羮。风泉清听。物物都归大造心。风泉亦解奏清吟。熙和六十一年化。编简犹垂雅颂音。濠濮间想。曾闻古衲子。问师觅心安。我是无心客。转觉会心难。天宇咸畅。(小字注。调万斯年曲。)琪树琼田封陟居。元君驻驾玩清虚。旋促鹤御返瑶池。别离初神仙侣。曾诉幽情立烟屿。暖溜暄波。灵泉清泚涤烦痾。功德由来利物多。况是御园分惠泽。祇今犹颂涧瀍歌。泉源石壁。泉源丹峤侧。石壁玉河隈。汀雁人为字。岩屏衣是苔。云心原不系。水镜岂须才。缅想无为治。巍魏造化该。青枫绿屿。游豫诸侯度。非关玩物华。山庄幽事足。林坞鸟声哗。列屿仍含黛。经霜想作霞。羣生被苞育。微木摠清嘉。莺啭乔木。再历仙居游似梦。重瞻睿作笔如杠。灵台却在榆关外。博望无劳更出駹。(小字注。调柳稍青)香远益清。俯弄清漪。平临锦绣。净植含奇。华岳峰头。西施湖畔。幽艳谁知。秋来老干。差差芳菲歇。造物无私。诗拟丰标。图摹体态。多少便宜。金莲映日。辉煌丽晓日。璀璨映重台。布地黄金满。祗园此处开。远近泉声。飞流疑挂玉。溅沫似喷珠。旧识题崖字。于今半有无。云帆月舫。(小字注。调太平时。)镇倚朱阑看翠涛。压金鳌。层楼十二薄璇霄。好抽毫。与物皆春民共乐。舞韶箫。宇宙泰和一人德。地天爻。芳渚临流。池如明镜草如茵。瀺灂时看泳锦鳞。自是天心乐育物。花香鸟语捴怡神。云容水态。水态溪边尚尔。云容天际犹存。梦里舂音世远。身沐恩波我原。澄泉遶石。不必栋称玉。偏夸茨是茅。石泉回绿野。草木遍青郊。溪涨鱼添子。春深燕补巢。琅玕刻画处。犹有两三梢。澄波迭翠。月上池开鉴。风来水弄文。千秋垂睿藻。烟翠共氛氲。石矶观鱼。重把青竿坐钓矶。闲看溪鸟掠波飞。渔歌漫忆吴江水。绝胜鲈鱼秋后肥。镜水云岑。古树迷离。翠嶂秋波。澄澈寒潭。画舫渡人。溪北虚窗。留客轩南。枫叶槲叶。纷错松枝。竹枝差参。宸章千载。犹烂妙理。万象都函。双湖夹镜。卧波新绿带痕齐。那数余杭苏氏堤。把笔试吟廿年事。秋风黄叶不堪题。长虹饮练。武夷帐幄列云崖。为有虹桥可作阶。此日游仙重容与。溪声犹奏绿琴谐。甫田丛樾。缅想雍熙治。深恩被闾阎。太平无气象。只向万民占。水流云在。秋水与天澄。行云倒浦凝。抚今还忆昔。干愓寸衷增。臣励宗万敬书。
尺寸
位置
尺寸(公分)
本幅
20.8x251.7
隔水
10.2
质地
位置
质地
本幅
纸
题跋
印记
类别
印记
作者印记
臣宗万
作者印记
敬书
主题
技法
参考
清励宗万乾隆题避暑山庄三十六景诗 卷
元佑通宝
熙宁重宝
垂裕阁法帖(六)(宙) 册 唐李邕书披云帖
青花福寿纹双耳扁壶
清乾隆三希堂法帖(二十二) 册 元赵孟俯尺牍
铜镀金铲
明停云馆法帖(第五册) 册 宋米芾草书入晋帖
折扇 成扇
唐故和州历阳县主簿张君墓志铭墨拓本
中国台北故宫博物院,典藏中国历代经典文物超过75万件,为现今世界上四大博物馆之一,被视为东方文物宝库。收录藏品主要分为:铜器、陶瓷器、玉器、珐琅器、雕刻、漆器、钱币、文具、织品、丝绣、绘画、法书、法帖、拓片、成扇等类别,所有图文解析均由故宫专业研究人员撰写,浅显易懂,内容丰富。